Coding/Baekjoon 47

[백준][파이썬]11401번 - 이항 계수 3

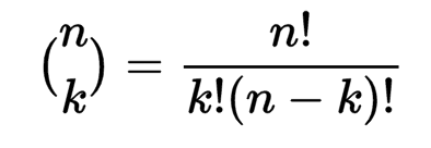
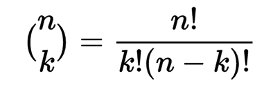
문제 자연수 N\(N\)과 정수 K\(K\)가 주어졌을 때 이항 계수 (NK)\(\binom{N}{K}\)를 1,000,000,007로 나눈 나머지를 구하는 프로그램을 작성하시오. 입력 첫째 줄에 N\(N\)과 K\(K\)가 주어진다. (1 ≤ N\(N\) ≤ 4,000,000, 0 ≤ K\(K\) ≤ N\(N\)) 출력 (NK)\(\binom{N}{K}\)를 1,000,000,007로 나눈 나머지를 출력한다. 필요한 개념 및 알고리즘 dp https://velog.io/@chelsea/1-%EB%8F%99%EC%A0%81-%EA%B3%84%ED%9A%8D%EB%B2%95Dynamic-Programming-DP [자료구조와 알고리즘] 동적 계획법(Dynamic Programming, DP) 동적 계획법(..

Coding/Baekjoon 2022.05.02

[백준][파이썬]3197번 - 백조의 호수

문제 두 마리의 백조가 호수에서 살고 있었다. 그렇지만 두 마리는 호수를 덮고 있는 빙판으로 만나지 못한다. 호수는 행이 R개, 열이 C개인 직사각형 모양이다. 어떤 칸은 얼음으로 덮여있다. 호수는 차례로 녹는데, 매일 물 공간과 접촉한 모든 빙판 공간은 녹는다. 두 개의 공간이 접촉하려면 가로나 세로로 닿아 있는 것만 (대각선은 고려하지 않는다) 생각한다. 아래에는 세 가지 예가 있다. ...XXXXXX..XX.XXX ....XXXX.......XX .....XX.......... ....XXXXXXXXX.XXX .....XXXX..X..... ......X.......... ...XXXXXXXXXXXX.. ....XXX..XXXX.... .....X.....X..... ..XXXXX..XXXXXX....

Coding/Baekjoon 2022.05.01

[백준][파이썬]1655번 - 가운데를 말해요

문제 백준이는 동생에게 "가운데를 말해요" 게임을 가르쳐주고 있다. 백준이가 정수를 하나씩 외칠때마다 동생은 지금까지 백준이가 말한 수 중에서 중간값을 말해야 한다. 만약, 그동안 백준이가 외친 수의 개수가 짝수개라면 중간에 있는 두 수 중에서 작은 수를 말해야 한다. 예를 들어 백준이가 동생에게 1, 5, 2, 10, -99, 7, 5를 순서대로 외쳤다고 하면, 동생은 1, 1, 2, 2, 2, 2, 5를 차례대로 말해야 한다. 백준이가 외치는 수가 주어졌을 때, 동생이 말해야 하는 수를 구하는 프로그램을 작성하시오. 입력 첫째 줄에는 백준이가 외치는 정수의 개수 N이 주어진다. N은 1보다 크거나 같고, 100,000보다 작거나 같은 자연수이다. 그 다음 N줄에 걸쳐서 백준이가 외치는 정수가 차례대로..

Coding/Baekjoon 2022.04.29

[백준][파이썬]12865번 - 평범한 배낭

문제 이 문제는 아주 평범한 배낭에 관한 문제이다. 한 달 후면 국가의 부름을 받게 되는 준서는 여행을 가려고 한다. 세상과의 단절을 슬퍼하며 최대한 즐기기 위한 여행이기 때문에, 가지고 다닐 배낭 또한 최대한 가치 있게 싸려고 한다. 준서가 여행에 필요하다고 생각하는 N개의 물건이 있다. 각 물건은 무게 W와 가치 V를 가지는데, 해당 물건을 배낭에 넣어서 가면 준서가 V만큼 즐길 수 있다. 아직 행군을 해본 적이 없는 준서는 최대 K만큼의 무게만을 넣을 수 있는 배낭만 들고 다닐 수 있다. 준서가 최대한 즐거운 여행을 하기 위해 배낭에 넣을 수 있는 물건들의 가치의 최댓값을 알려주자. 입력 첫 줄에 물품의 수 N(1 ≤ N ≤ 100)과 준서가 버틸 수 있는 무게 K(1 ≤ K ≤ 100,000)가 ..

Coding/Baekjoon 2022.04.27

[백준][파이썬]10870번

문제 피보나치 수는 0과 1로 시작한다. 0번째 피보나치 수는 0이고, 1번째 피보나치 수는 1이다. 그 다음 2번째 부터는 바로 앞 두 피보나치 수의 합이 된다. 이를 식으로 써보면 Fn = Fn-1 + Fn-2 (n ≥ 2)가 된다. n=17일때 까지 피보나치 수를 써보면 다음과 같다. 0, 1, 1, 2, 3, 5, 8, 13, 21, 34, 55, 89, 144, 233, 377, 610, 987, 1597 n이 주어졌을 때, n번째 피보나치 수를 구하는 프로그램을 작성하시오. 입력 첫째 줄에 n이 주어진다. n은 20보다 작거나 같은 자연수 또는 0이다. 출력 첫째 줄에 n번째 피보나치 수를 출력한다. def fibonacci(n): if n == 0: return 0 elif n==1: ret..

Coding/Baekjoon 2021.01.27

[백준][파이썬]10872번

문제 0보다 크거나 같은 정수 N이 주어진다. 이때, N!을 출력하는 프로그램을 작성하시오. 입력 첫째 줄에 정수 N(0 ≤ N ≤ 12)가 주어진다. 출력 첫째 줄에 N!을 출력한다. def factorial(n): if n == 0: return 1 return n * factorial(n-1) x = int(input()) print(factorial(x)) 이는 재귀함수를 사용 x = int(input()) fac = 1 for i in range(1, x+1): fac = fac * i print(fac) 재귀 분야라는 것을 잊고 그냥 품...

Coding/Baekjoon 2021.01.26

[백준][파이썬]2941번

문제 예전에는 운영체제에서 크로아티아 알파벳을 입력할 수가 없었다. 따라서, 다음과 같이 크로아티아 알파벳을 변경해서 입력했다. 크로아티아 알파벳변경 č c= ć c- dž dz= đ d- lj lj nj nj š s= ž z= 예를 들어, ljes=njak은 크로아티아 알파벳 6개(lj, e, š, nj, a, k)로 이루어져 있다. 단어가 주어졌을 때, 몇 개의 크로아티아 알파벳으로 이루어져 있는지 출력한다. dž는 무조건 하나의 알파벳으로 쓰이고, d와 ž가 분리된 것으로 보지 않는다. lj와 nj도 마찬가지이다. 위 목록에 없는 알파벳은 한 글자씩 센다. 입력 첫째 줄에 최대 100글자의 단어가 주어진다. 알파벳 소문자와 '-', '='로만 이루어져 있다. 단어는 크로아티아 알파벳으로 이루어져 있..

Coding/Baekjoon 2021.01.25

[백준][파이썬]5622번

문제 상근이의 할머니는 아래 그림과 같이 오래된 다이얼 전화기를 사용한다. 전화를 걸고 싶은 번호가 있다면, 숫자를 하나를 누른 다음에 금속 핀이 있는 곳 까지 시계방향으로 돌려야 한다. 숫자를 하나 누르면 다이얼이 처음 위치로 돌아가고, 다음 숫자를 누르려면 다이얼을 처음 위치에서 다시 돌려야 한다. 숫자 1을 걸려면 총 2초가 필요하다. 1보다 큰 수를 거는데 걸리는 시간은 이보다 더 걸리며, 한 칸 옆에 있는 숫자를 걸기 위해선 1초씩 더 걸린다. 상근이의 할머니는 전화 번호를 각 숫자에 해당하는 문자로 외운다. 즉, 어떤 단어를 걸 때, 각 알파벳에 해당하는 숫자를 걸면 된다. 예를 들어, UNUCIC는 868242와 같다. 할머니가 외운 단어가 주어졌을 때, 이 전화를 걸기 위해서 필요한 최소 ..

Coding/Baekjoon 2021.01.24

[백준][파이썬]2908번

문제 상근이의 동생 상수는 수학을 정말 못한다. 상수는 숫자를 읽는데 문제가 있다. 이렇게 수학을 못하는 상수를 위해서 상근이는 수의 크기를 비교하는 문제를 내주었다. 상근이는 세 자리 수 두 개를 칠판에 써주었다. 그 다음에 크기가 큰 수를 말해보라고 했다. 상수는 수를 다른 사람과 다르게 거꾸로 읽는다. 예를 들어, 734와 893을 칠판에 적었다면, 상수는 이 수를 437과 398로 읽는다. 따라서, 상수는 두 수중 큰 수인 437을 큰 수라고 말할 것이다. 두 수가 주어졌을 때, 상수의 대답을 출력하는 프로그램을 작성하시오. 입력 첫째 줄에 상근이가 칠판에 적은 두 수 A와 B가 주어진다. 두 수는 같지 않은 세 자리 수이며, 0이 포함되어 있지 않다. 출력 첫째 줄에 상수의 대답을 출력한다. i..

Coding/Baekjoon 2021.01.23

[백준][파이썬]1152번

문제 영어 대소문자와 띄어쓰기만으로 이루어진 문자열이 주어진다. 이 문자열에는 몇 개의 단어가 있을까? 이를 구하는 프로그램을 작성하시오. 단, 한 단어가 여러 번 등장하면 등장한 횟수만큼 모두 세어야 한다. 입력 첫 줄에 영어 대소문자와 띄어쓰기로 이루어진 문자열이 주어진다. 이 문자열의 길이는 1,000,000을 넘지 않는다. 단어는 띄어쓰기 한 개로 구분되며, 공백이 연속해서 나오는 경우는 없다. 또한 문자열의 앞과 뒤에는 공백이 있을 수도 있다. 출력 첫째 줄에 단어의 개수를 출력한다. import sys a= sys.stdin.readline().split() print(len(a))

Coding/Baekjoon 2021.01.23